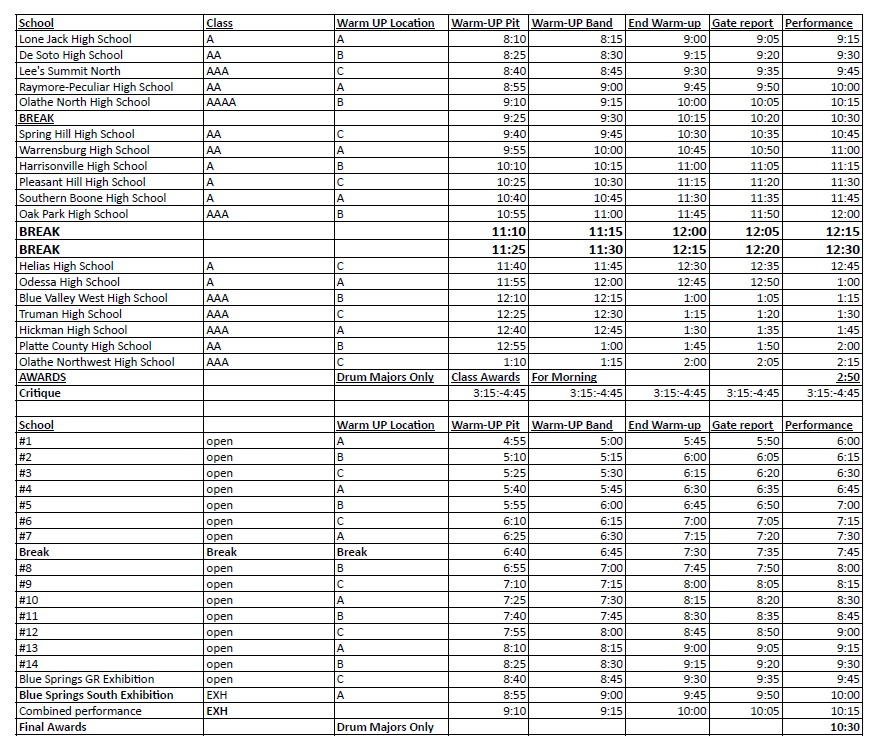
Day Show Recap

Evening Show Recap


Day Show Captions
Class 1A
Music - Odessa
Visual and GE - Pleasant Hill
Class 2A
Music/Visual/GE Platte County
Class 3A
Music/Visual/GE - Hickman
Day Show Top 3 in each class.
Class A
1 - Pleasant Hill
2 - Harrisonville
3 - Helias
Class AA
1 - Platte County
2 - De Soto
3 - Spring Hill
Class AAA
1 - Hickman
2 - Blue Valley West
3 - Olathe Northwest
No Scores or other placements were announced.
Evening Show Schedule
KC Championships at Blue Springs South Evening Show Schedule
6:00 Odessa
6:12 Lee's Summit North
6:24 Harrisonville
6:36 Helias
6:48 Southern Boone
7:00 Spring Hill
7:12 Break
7:24 Platte County
7:36 Olathe North
7:48 Blue Valley West
8:00 Oak Park
8:12 Hickman
8:24 Olathe Northwest
8:36 Truman
8:48 Blue Springs Golden Regiment (EXH)
9:00 Blue Springs South Jaguar Pride (EXH)
9:12 Combine Gold Regiment and Jaguar Pride (EXH)
9:24 Awards
|